SOLARNO NAPAJANJE ZA POČETNIKE

SOLARNO NAPAJANJE ZA POČETNIKE

Da bi razbili predrasude i netačne informacije koje se pojavljuju na raznim forumima i u kvazi–intelektualnim diskusijama koje govore da je bliska budućnost čovečanstva vezana za solarnu energiju, pozabavićemo se proizvodnjom struje iz foto-naponskih modula

 

Autor: Miloš Zdravković

 

Ovaj tekst je napisan kao odgovor na brojna pitanja koja postavljaju ljudi koji dobronamerno predlažu ideje za razvoj Srbije ali i sveta, bazirane na obnovljivim izvorima energije. Najčešće postavljena pitanja su zašto nuklearne elektrane još uvek postoje; da li je moguće ugasiti termo elektrane; da li je Srbija u problemu zato što elektro-energetski sistem bazira na struji proizvedenoj u termo elektranama… Dakle, kakva je realnost?

Poslednjih nekoliko godina bili smo svedoci sve većeg rasta cena energenata. Izuzetak je prošla godina, kada je zbog sukoba velikih sila izazvan ekonomski neodrživ pad cena nafte i gasa – iz čisto političkih razloga. Kako za državu, tako i za pojedinca, veliki je problem pratiti porast cena energenata – posebno ukoliko su novčana sredstva državnog ili porodičnog budžeta limitirana. Povećanje cena energenata (električne energije, gasa, drva, uglja) se najviše oseti u toku zime, kada je potrebno zagrevati prostor u kome boravimo. Svedoci smo sve toplijih leta, kada nam računi za struju zbog upotrebe klima uređaja odlaze u „crveno“. Laički razmišljanje na gore navedene teme glasi: “Imamo reke, imamo vetar, sunce nam je na dohvat ruke. Treba samo da izbacimo skupa i prljava fosilna goriva.”

Kakva je realnost? U svetu trenutno radi blizu 400 nuklearna reaktora u 31 zemlji, a u planu je da se izgradi još 173. Procenjuje se i da će udeo nuklearne energije u proizvodnji struje u svetu porasti sa sadašnjih 11% na 18% u 2050. “Šampion zavisnosti od nukleare energe” je Francuska, sa 78 procenata celokupne potrošnje.

Američko ministarstvo za energetiku procenilo je da su se u 2006. godini glavni izvori energije sastojali od nafte 36.8%, uglja 26.6%, gasa 20.9% – što rezultira sa ukupno 86% poreklom od fosilnih goriva u svetskoj proizvodnji energije. Kada je samo struja u pitanju, procenat je nešto manji. Nefosilni izvori uključivali su hidro-električne sa 6.3%, nuklearne sa 6% (u proizvodnji struje sa 11%) i ostale (geotermalne, solarne, na plimu, vetar, drvo, otpad) sa 0.9%. Svetska potrošnja energije rasla je za oko 2.3% godišnje.

A zašto je to tako? Jednostavno čovečanstvo nije ovladalo tehnologijama koje mogu da zamene fosilna goriva. U ovladavanju nuklearnom energijom se otišlo najdalje.

Kako bi razbili predrasude koje se pojavljuju na raznim forumima i u kvazi–intelektualnim diskusijama da je bliska budućnost čovečanstva vezana za solarnu energiju, pozabavićemo se proizvodnjom struje iz foto-naponskih modula.

slika1Pokušaćemo da na “plastičan” način objasnimo kako se projektuje jedna mini-solarna elektrana (sistem). Ovo je prvi korak od kojeg se polazi kada se proračunava ovakav sistem. Potrebno je do detalja sagledati sve režime rada uređaja koji se napajaju. Bilo da je u pitanju napajanje stambenog objekta (kuće, vikendice, pojate…), udaljenog radio-komunikacionog uređaja, sistema video nadzora, perimetarske zaštite – princip je uvek isti. Potrebno je sagledati teorijski najnepovoljniji režim rada sistema koji se napaja. Najnepovoljniji uslov znači da je potrebno sagledati režim rada potrošača kada on troši najviše električne energije.

 

Najpre moramo sagledati sve potrošače u objektu. Za primer ćemo uzeti stambeni objekat – vikendicu:

  1. Potrošač – štedljiva sijalica u dnevnom boravku 20W koja će biti uključena od 16 časova popodne do 22 časa uveče, dakle šest časova dnevno.
  2. Potrošač – štedljiva sijalica 10W u spavaćoj sobi koja će biti aktivna maksimalno jedan čas dnevno.
  3. Potrošač – štedljiva sijalica 20W u toaletu koja će biti aktivna maksimalno jedan čas dnevno.
  4. Potrošač – štedljiva sijalica 10W u predsoblju koja će biti aktivna maksimalno dva časa dnevno.
  5. Potrošač – LCD 15“ TV aparat 50W u dnevnoj sobi koji će biti aktivan maksimalno četiri časa dnevno.
  6. Potrošač – punjač mobilnog telefona 12W koji će biti aktivan dva časa svaki drugi dan, što je prosečno jedan čas dnevno.
  7. Potrošač – Šporet 750 W, koji će biti aktivan maksimalno dva časa dnevno
  8. Potrošač – Mali frižider – 100 W, koji će biti aktivan (8-12) časova dnevno
  9. Potrošač – Računar 150 W, koji će biti aktivan jedan čas dnevno
  10. Potrošač – Radio 10 W, koji će biti aktivan jedan čas dnevno

 

[table caption= width=“550″ colwidth=“20|150|150″ colalign=“center|center|center|center“]
Potrošač,Snaga [w],Vreme rada [h],Dnevna potrošnja [Wh]
1,20,6,120
2,10,1,10
3,20,1,20
4,10,2,20
5,50,4,200
6,12,1,12
7,750,2,1500
8,100,12,1200
9,150,1,150
10,10,1,10
,,,3.242
[/table]

Najoptimalnije iskorišćenje foto-naponskog panela dobija se kada se panel montira na nosač sa promenljivim uglom azimuta i elevacije. Kontroler tokom dana podešava najoptimalniji ugao orjentacije panela. Kako su ovakvi kontroleri i nosači suviše skupi, najčešće se prihvata varijanta montaže panela na fiksnom nosaču pri čemu se panel po azimutu usmerava na jug.

Ukoliko se odabere konstruktivno najprostija varijanta da se panel montira na fiksnom nosaču bez mogćnosti promene elevacije rukovodimo se opet kriterijumom najnepovoljnijeg uslova. Najmanji intezitet sunčevog zračenja je u decembru i januaru. Ako se panel, na primer, nalazi na 45 stepena severne geografske širine, najoptimalniji ugao elevacije za decembar i januar mesec 64° (tabelarna vrednost). Bitno je napomenuti da je ovo ugao od horizontalne ravni.

 
[table caption=“In-plane irradiation     –    mfor: Inclin. 64 deg. Orient. 0 deg.“ width=“550″ colwidth=“20|130|150″ colalign=“center|center|center|center“]
,Irradiation mesečno (kWh/m2),Irradiation dnevno (kWh/m2)
Jan,67,2.0
Feb,84,3.0
Mart,118,3.8
Apr,125,4.2
Maj,137,4.4
Jun,132,4.4
Jul,147,4.7
Avg,155,5.0
Sept,144,4.8
Okt,124,4.0
Nov,76,2.5
Dec,58,1.9
Godišnji prosek,114,3.7
Total godišnje irradiation(kWh/m2),,1367
[/table]

Zahvaljujući podacima Združenog istraživaćkog centra Evropske komisije (Europian Commission’s Joint Research Cener) moguće je odrediti mesec sa najmanjim intezitetom sunčevog zračenja kao i najoptimalniji ugao elevacije panela za taj mesec.

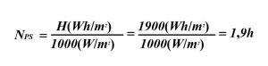
Na osnovu podataka iz ove tabele dolazimo do bitnih parametara za naše dalje proračune odnosno do konstatacije da prosečan intenzitet sunčevog zračenja u decembru mesecu iznosi H = 1900Wh /m2 dnevno (Irradiation per day (kWh/m2).

 

Proračun snage fotonaponskog panela

Snaga foto-naponskog panela izražava se u jedinicama Wp (Watts peak) i predstavlja snagu električne energije koju panel generiše pri intezitetu sunčevog zračenja od 1000W/m2. Da bi nastavili sa daljim proračunima moramo najpre izračunati takozvani ,,srednji broj sati vršnog sunca“ u najnepovoljnijem mesecu. Matematički posmatrano vršimo normalizaciju snage sunčevog zračenja u odnosu na referentnu vrednost od 1000W/m2. Srednji broj sati vršnog sunca računamo po formuli:

formula1

Posmatrajmo dalje da je efikasnost regulatora punjenja Ereg=90%  i da je efikasnost baterija Ebat=90%. Ovo je samo primer, konkretni podaci se mogu dobiti od proizvođača regulatora punjenja i baterija.

Snaga solarnog panela P(Wp) koji pod ovim uslovima mora da obezbedi napajanje stambenog objekta – vikendice, čija je dnevna potrošnja PO =3242 Wh, iznosi

formula2

Iz ovoga proizilazi da je potrebno ugraditi dvadeset i jedan foto-naponski panel snage od po 100W p, i jedan snage 50W p jer se kao takvi mogu naći na tržištu.

 

Proračun kapaciteta baterija

Kada je u pitanju kapacitet baterije potrebno je unapred definisati uslov raspoloživosti sistema. U zavisnosti od toga koliko je bitno funkcionisanje sistema koji se proračunava, definisaćemo kriterijum koliko vremena baterije moraju pružiti autonomije rada potrošačima u uslovima ,,totalnog mraka“ odnosno u uslovima kada panel ne generiše nikakvu struju punjenja.

Za potrebe ovog proračuna posmatraćemo slučaj dva uzastopna dana ,,totalnog mraka“, odnosno dva dana bez energije sunčevog zračenja ili druge vrste otkaza na panelu (Nsol=2). Što se napona baterije tiče usvajamo da je u pitanju napon Vbat=12V. Sledeći parametar koji je bitan za račun je efikasnost baterija. Naime baterije nisu u stanju da uskladište svu električnu energiju koju dobiju. Deo energije se troši na odvijanje elektro-hemijskih procesa i oslobađa se u vidu toplote. Ovaj faktor se dobija iz kataloga proizvođača a za potrebe ovog proračuna usvojićemo vrednost od Ebat=80%. Kada se baterija prazni napajajući potrošač, ne sme se nikada dozvoliti da se baterija isprazni do kraja. O ovome vodi računa regulator punjenja čija je uloga da počne da puni bateriju kada se isprazni do dozvoljene dubine pražnjenja. Regulator punjenja, takođe, prekida dovod struje ka potrošačima ako se baterija isprazni ispod kritične granice kako bi sačuvao bateriju.

U skladu sa ovim potrebno je definisati takozvanu dubinu pražnjenja baterija. Kada je baterija napunjena na 100% svog kapaciteta kažemo da je dubina pražnjenja baterije u tom trenutku Dbat=0%. Kako se baterija prazni raste i dubina pražnjenja. Nema generalne preporuke o tome koliki ovaj faktor treba da bude. Što više dozvoljavamo bateriji da se isprazni to će njen radni vek biti manji ali će nam u tom slučaju trebati i baterija manjeg kapaciteta. Što manje dozvolimo bateriji da se isprazni ona će nam duže trajati ali nam u tom slučaju treba baterija većeg kapaciteta.

U našem primeru usvojićemo da maksimalna dozvoljena dubina pražnjenja baterije D bat=80%. Imamo još jedan parametar a to je takozvana degradacija kapaciteta baterije usled pada temperature Ct-bat. Nazivni kapacitet baterije koji deklariše proizvođač odnosi se na temperaturu ambijenta od 20°C. Padom temperature smanjuje se i raspoloživi kapacitet baterije. Za određivanje ovog faktora bitno je poznavati temperaturu ambijenta u zimskim uslovima i zavisnost kapaciteta baterije od temperature. Ukoliko nam nisu poznati podaci proizvođača može se usvojiti računica da kapacitet baterije opada za 1% sa padom temperature za 1°C ispod 20°C. U našem primeru usvojićemo da baterija u zimskim uslovima radi na temperaturi od 5°C, što znači da je njen raspoloživi kapacitet usled pada temperature degradiran na vrednost od Ct bat=85% .

Na osnovu ovih podataka možemo izračunati potreban kapacitet baterije na osnovu sledeće formule:

formula3

Baterije se serijski proizvode i na tržištu se mogu naći baterije kapaciteta 100Ah. Kako smo proračunom dobili vrednost 883,4Ah, sledi da nam je potrebno devet baterija.

Važno je napomenuti da se prilikom puštanja potrošača u rad praktikuje da baterija bude napunjena na 100% svog kapaciteta. Vek trajanja panela je 25 godina, a baterija do 15 godina (800-1500 ciklusa).

Naravno, na kraju da kažemo koliko to košta. Instalacija „ključ u ruke“ oko 4000 Evra, što bi značilo da se investicija otplaćuje za oko 66 godina (sa cenom struje oko 5 din/kilovatu). Ali ako nemamo struju na razdaljini većoj od jednog kilometra, onda je priča drugačija – jer bi nas uvođenje struje koštalo preko 10,000 Evra po kilometru.

P.S.

  1. Za dizajn fotonaponskog sistema potrebno je nabaviti inverter, brojač, punjač, kablove, držače panela… Tu ne možete pogrešiti, a i ne utiču značajnije na cenu.
  2. Namerno je izostavljen bojler, jer se on napaja termalnim kolektorima. To je takođe „solarna“ tehnologija, ali je drugačiji princip – inače veoma isplativa tehnologija, za koju se investicija isplati za par godina.

 

Оставите одговор

Ваша адреса е-поште неће бити објављена. Неопходна поља су означена *

Ово веб место користи Акисмет како би смањило непожељне. Сазнајте како се ваши коментари обрађују.